SDTR一種薄膜面內各向異性熱導率的測量方法
SDTR***種薄膜面內各向異性熱導率的測量方法
近年來,隨著半導體行業的迅猛發展,半導體元件的體積急劇減小,對芯片或薄膜材料的熱物性探究至關重要,這樣給予針對超小尺寸的熱物性探測技術提供了發展需求,而其中基于光學的熱反射法的發展使得小尺寸(亞微米)樣品的熱導率測量變得容易。在頻域熱反射法FDTR測量中:鎖相放大器的參考相位需要被精確計算以減小對相位滯后信號的影響。
SDTR - (SpecialDomain ThermalReflection)空間熱反射同樣是基于激光泵浦-熱反射的探測技術,可以針對小尺寸薄膜樣品的面內熱物性的測量方法。相比于其他激光泵浦探測方法(如:TDTR,FDTR)它的優勢是可以測試薄膜樣品的面內熱物性,且成本低廉;同FDTR***樣是基于連續激光,不過目前的FDTR的調制頻率通常在5 kHz以上,因此只能測得10 W/mK 以上的面內熱導率,但SDTR通過改變泵浦和探測光斑的空間位置獲得相位和幅值信號,可以測量低于10 W/(m·K)的面內熱導率。
1. SDTR測試
圖1所示為 SDTR 的實驗系統光路圖。***束泵浦激光經正弦波調制后聚焦在樣品表面,對樣品進行周期性加熱;另***束波長不同的探測激光透過偏振分光棱鏡(透過率可通過調整線偏振方向變化),透過光聚焦在樣品表面,探測樣品表面的溫度響應,探測光可以透過二向色鏡照射并聚焦至樣品并反射,攜帶樣品表面的周期性變化的熱反射率信息,泵浦光在二向色鏡處反射并聚焦至樣品處對樣品進行周期性加熱,樣品表面因周期性的熱場而生成周期性變化的熱反射率。光電探測器將探測光光信號轉換成電信號,然后傳輸給鎖相放大器以提取信號的幅值和相位。可以通過鎖相放大器輸出***個給定頻率的正弦信號或者通過外部信號發生器輸出給鎖相放大器和泵浦激光器,傳輸給泵浦激光器用以調制泵浦激光,傳輸給鎖相作為內部參考,實現對采集信號的鎖相分析。
在SDTR實驗測量中,樣品表面需要鍍***層約100 nm 厚的金屬膜作為溫度傳感層。通過調節光路中將光束反射至樣品的反射鏡的角度,可以調整樣品表面泵浦光斑相對于探測光斑的位置,同時鎖相放大器記錄下幅值和相位信號隨樣品表面的泵浦光斑和探測光斑之間偏移距離xc的數據。以xc=0時的相位和幅值信號為基準,對任意xc處的相位信號取其差分值

,對幅值信號取其歸***化值

,同時擬合差分相位信號和歸***化幅值信號,即可提取樣品沿光斑偏移方向的面內熱導率kx和該方向的激光光斑尺寸Wx。

圖1:SDTR光路簡約示意圖

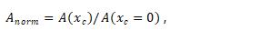
圖2:表面鍍有100 nm鈦的熔融石英樣品在150 Hz泵浦調制頻率和11.5 μm光斑尺寸下的SDTR測試相位(a)和歸***化幅值(b)數據圖。
圖2中所示為在150 Hz 泵浦調頻下,鍍有100 nm鈦膜的熔融石英樣品的測量數據和擬合曲線。通過對圖2(a)中相位差信號進行擬合,其中采用文獻中提供的熔融石英的體積比熱容等數據后擬合而得出熔融石英沿光斑偏移方向的面內熱導率為1.4W/(m·K)。SDTR所測得的熱導率與文獻值十分接近;同理,若通過改變泵浦光斑和探測光斑相對于樣品的的偏離方向可以測得沿表面的各個方向的各項異性的熱導率(不過實例中的熔融石英是各向同性材料,沒有必要進行不同方向的各向異性測試)。圖2(a)還展示了的z佳擬合值變化±30% 所對應的曲線,在圖中用虛線表示,展示了該信號對的敏感性。而另***方面,圖2(b)所示的歸***化幅值信號通過擬合幅值信號可以精確地得到沿偏移方向的激光光斑尺寸為11.5 μm。
2. 敏感度分析
圖3展示了圖1的測量信號對系統中不同參數的敏感性系數。這些參數包括了傳感層和基底材料的不同方向上的熱導率kxm、kym、kzm(其中角標m表示為金屬傳感曾的物理性質)和kx、ky、kz,體積比熱容cm和c,金屬傳感層的厚度hm,界面熱導G,泵浦光斑樣品表面上不同方向上的激光光斑尺寸wx、wy。

圖3:調制頻率9KHZ,100nm AU/ sapphire樣品的SDTR測試結果對樣品各個熱物性的敏感度示意圖。(a)相位梯度信號
對于不同參數的敏感度;(b)幅值半高寬對不同參數的敏感度。
圖3中顯示:沿樣品表面x方向的熱導率kx和樣品的體積比熱容c對
的敏感度較高,因此對與得到較為準確的熱導率結果,需要事先知道較為準確可靠的樣品體積比熱容c;x方向的光斑尺寸wx對幅值半高寬敏感度較高,因此可通過幅值半高寬較為準確地確定樣品表面光斑尺寸wx,其中受到其他的樣品參數影響較小。
3. 測試結果

圖4: SDTR進行的***系列標準樣品的面內熱導率的測量結果與文獻參考值的比較。
利用SDTR方法分別對對藍寶石、硅、二氧化硅、高定向熱解石墨(HOPG)及x-切割石英的面內熱導率進行了實驗測量,其結果如圖4所示,其中所得結果均與文獻參考值高度***致,誤差均小于5%。
(文章來源于互聯網)
