4-20ma轉485模塊modbus模擬量輸入模塊優質廠***
提供C#,西門子PLC,三菱PLC,歐姆龍PLC,臺達PLC,威綸通觸摸屏通信實例demo。并提供模塊調試助手
Modbus協議:
Modbus協議是 種廣泛應用于當今工業控制領域的通用通信協議。通過此協議,控制器相互之間、或控制器經由網絡可以和其它設備之間進行通信。
DAM-7011是集模擬量輸入型數據采集器,配置有1路模擬輸入通道。模塊采用高性能16位AD芯片,測量精度±0.1%。模塊具有低溫飄,線性度高, 致性好;使用方便等特點;適用于采集工業現場的各種電壓/電流信號,為現場數據采集提供 種穩定且低成本的采集產品。
DAM模塊是全新 代基于嵌入式系統的模塊式數據采集器,采用標準DIN35導軌安裝方式,現場安裝簡單,使用靈活;應對各種現場應用??刹杉?路差分模擬信號;模塊采用高性能16位AD芯片,采集測量精度±0.1%。模塊配置有隔離的RS232/RS485接口,方便與PC或PLC通信;可單獨與PC或PLC通信,也可以與多個485模塊組網使用。
DAM-7011采用 進高效的光電+磁隔離技術,電源、通訊、信號輸入三端隔離,有效保障數據采集的速度、可靠及安全。
產品特性:
|
◆ARM嵌入式實時操作系統
|
|
◆模擬輸入通道:1路差分
|
|
◆模擬輸入信號范圍:
|
±20mA,
|
±100mV,
|
|
|
±1V,
|
±2.5V,
|
±5V,
|
±10V
|
|
◆AD轉換分辨率: 16位
|
|
◆測量精度:±0.1%(典型值)
|
|
◆轉換速率:40次/秒(全通道)
|
|
◆寬供電范圍:DC 9~30V(24V@20mA)
|
|
◆地址/波特率可由用戶配置
|
|
◆支持Modbus RTU協議及自定義ASCII協議
|
|
◆支持模塊主動發送數據模式
|
|
◆±15KV ESD保護
|
|
◆三端隔離耐壓:電源/通信/模擬輸入之間≥1500V AC
|
|
◆工作溫度范圍:-40℃~80℃
|
|
◆工業 ABS阻燃外殼,標準DIN35導軌
|
模塊工作原理圖:
輸入輸出隔離
產品針對工業應用設計:通過DC-DC變換,實現測量電路和主控電路電源隔離;同時控制單元與通訊單元采用光電隔離技術實現電氣隔離,達到電源、通訊、采集三端隔離的目的;有效保障數據采集可靠及安全。
浪涌保護
模塊配有瞬態抑制電路,能有效抑制各種浪涌脈沖,保護模塊在惡劣的環境下可靠工作。
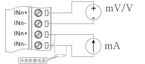
模擬量輸入接線:

DAM-7011模擬量輸入接線示意圖
DAM-7011模擬輸入為差分輸入,每個模擬輸入通道都有兩個接線端口,分別為模擬輸入正(INn+)與模擬輸入負(INn-)。
DAM-7011配置有1路RS232與1路RS485,RS232可以直接與電腦連接,RS485可以單個與PLC或其它主機連接,也可以多個模塊組網后與PLC或其它主機連接
DAM-7011模塊通信模式通常為主從模式( 問 答模式);主機通過通信接口發送命令給模塊,模塊在接收到正確命令之后做出相應響應。
DAM-7011模塊通信模式通常為主從模式( 問 答模式);主機通過通信接口發送命令給模塊,模塊在接收到正確命令之后做出相應響應。
通信地址
DAM-7011模塊通信地址范圍為01~FF(1~255),模塊地址出廠設置為01;模塊通信地址可以由用戶根據現場需要通過命令修改,具體方法參見相應命令。
通信速率
DAM-7011模塊RS232/RS485支持波特率:1200bps、2400bps、4800bps、9600bps、19200bps、38400bps、57600bps、115200bps;模塊出廠默認波特率為9600bps,模塊通信速率可以由用戶根據現場需要通過命令修改,具體方法參見配置說明
通信協議
DAM模塊支持Custom-ASCII協議(自定義的ASCII協議),用戶可以通過簡單的ASCII命令方便的讀取測量數據和配置模塊參數,比如配置地址(001~0FF)、波特率。
選型表:
售后保障:
本產品自售出之日起提供兩年質保,7x24小時技術服務,凡用戶在遵守貯存、運輸及使用要求的條件下產品損壞,或產品質量低于技術指標的,免費返廠維修。因違反操作規定和要求而造成產品損壞的,需交納器件費用和維修費。