美***Madshen V錐流量傳感器改變傳統的流體向中心收縮而壓損大的缺點,而是軸對稱的邊壁收縮方式下的逐漸收縮和逐漸擴散。這是 次節流裝置的節流、收縮的全新變革,在節流裝置結構設計上是 次重大的突破。不僅解決了老式差壓流量計所存在的技術缺陷,而且具有其他測量原理的流量傳感器計所不具備的優點。

V形錐體和導流管是預 經過精密加工好的,流體在流經V錐體時,V錐體的結構和形狀使得流體在收縮前有 個平滑的過度區,流體并不是被迫收縮到管道中心線附近,而是逐漸朝向管內邊壁收縮,在前后兩端會產生差壓,配上相應的差壓變送器和附件(三組閥、取壓閥等)組成V錐流量計,從而測量出流量。
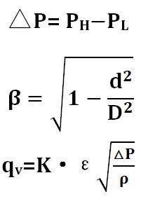
流量公式:

其中:
—等效直徑比
ρ—流體工況條件下的密度
D—管道內徑
K—K系數(與節流件形式(流束收縮系數)直徑比,取壓方式,雷諾數及管道粗糙度有關
d—V錐節流件的 大橫截面處的直徑
qv—體積流量
ε—氣體膨脹系數(對于不可壓縮液體ε=1)
1、公稱通徑:DN15~DN2000
2、公稱壓力:0~40MPa
3、精度:準確度等 為0.5%(差壓變送器的準確度應高于0.2 ,含0.2 )
4、重復性:優于0.1%
5、介質溫度范圍:可以實現-40~700℃的介質的流量測量
6、量程比通常為10:1
7、壓損小:同樣的β值,***壓力損失是孔板壓力損失的1/3~1/5
8、測量流體:幾乎適用于所用蒸汽、氣體、液體介質的測量
9、前后直管段:3D(前),1D(后),方管V錐流量計無需前后直管段
11、結構材料材質:
| 部件名稱 |
材質 |
| 測量管和法蘭 |
304不銹鋼、20#碳鋼、其他 |
| V錐體和連接附件 |
304不銹鋼, |
| 取壓口 |
304不銹鋼 |
| 三閥組(附件、可選) |
304不銹鋼 |
| 引壓管(附件、可選) |
304不銹鋼 |
| 冷凝罐(附件、可選) |
304不銹鋼 |
| 排污閥(附件、可選) |
304不銹鋼 |
| 部件名稱 |
材質 |
| 測量管和法蘭 |
304不銹鋼、20#碳鋼、其他 |
| V錐體和連接附件 |
304不銹鋼, |
| 取壓口 |
304不銹鋼 |
| 三閥組(附件、可選) |
304不銹鋼 |
| 引壓管(附件、可選) |
304不銹鋼 |
| 冷凝罐(附件、可選) |
304不銹鋼 |
| 排污閥(附件、可選) |
304不銹鋼 |
12、外表涂層:
| 傳感器測量管材質 |
外表涂層 |
| 全不銹鋼304 |
噴不銹鋼砂 |
| 測量管為碳鋼 |
銀灰色環氧樹脂漆 |
13、防爆等 (差壓變送器):隔爆、本安、不防爆可供選擇(差壓變送器)
14、供電電源(差壓變送器):12~24VDC,
15、輸出信號(差壓變送器):4~20mA或HART協議
16、顯示及輸出:
| 差壓變送器 |
現場顯示 |
| 配多參數變送器 |
瞬時流量 累積流量 |
| 配差壓變送器 |
與差壓范圍相對應的差壓值 |

MDS51 V錐流量傳感器選型表
|
MDS 51
|
V錐流量傳感器
|
|
過程連接
|
A
|
法蘭式
|
|
B
|
直接焊接式
|
|
C
|
方管式
|
|
D
|
其它形式,訂貨時說明
|
|
傳感器口徑
|
15
|
DN15
|
|
25
|
DN25
|
|
50
|
DN50
|
|
65
|
DN65
|
|
80
|
DN80
|
|
100
|
DN100
|
|
—
|
——
|
|
材 質
|
A
|
整體304
|
|
B
|
管道,法蘭為碳鋼,錐體為304.
|
|
C
|
整體316
|
|
D
|
其它材質
|
|
額定壓力
|
6
|
額定壓力0.6MPa
|
|
10
|
額定壓力1.0MPa
|
|
16
|
額定壓力1.6MPa
|
|
25
|
額定壓力2.5MPa
|
|
40
|
額定壓力4.0MPa
|
|
—
|
——
|
|
420
|
額定壓力42MPa
|
|
取壓口形式
|
S
|
承插口
|
|
G
|
錐管螺紋1/2”NPT或ZG1/2”
|
|
F
|
法蘭取壓
|
|
R
|
其它
|
|
密封面形式
|
RF
|
突面密封
|
|
MF
|
凹凸面密封
|
|
TG
|
榫槽面密封
|
|
RJ
|
環連接面密封
|
|
Q
|
其它方法
|
|
連接附件
|
C
|
常溫
|
|
H
|
高溫
|
|
W
|
贓污
|
|
Z
|
其它
|
|
法蘭標準
|
GB
|
***標
|
|
HG
|
化工部標準
|
|
JB
|
原機械部標準
|
|
ASME
|
美標
|
|
Q
|
其它標準
|